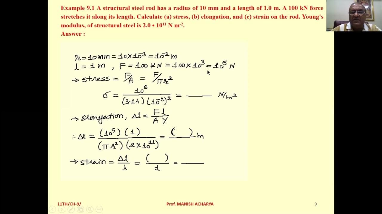
A Steel Rod Has A Radius Of 10 Mm And Length Of 1M . Stress on the rod is given by. F = 100kn = 100 ×103 n = 105n. (a) stress, (b) elongation and. A 100 kn force stretches it along its length. Here, r = 10mm = 10 ×10−3 m. a steel rod has a radius `10mm` and a length of `1m`. F = y aδl l = 2×1011 ×3.14×10−4 ×0.16×10−2. a structural steel rod has a radius of 10 mm and a length of 1.0 m. A 100 k n force stretches it along its length. R = 10×10−3m,l = 1m, δl = 0.16 100l and y = 2×1011n /m2. a structural steel rod has a radius of 10 mm and a length of 1.0 m. Stress = af = πr2f. a structural steel rod has a radius of 10 mm and a length of 1.0 m. The given problem is from elastic properties of material.
from www.numerade.com
F = 100kn = 100 ×103 n = 105n. Stress = af = πr2f. Stress on the rod is given by. R = 10×10−3m,l = 1m, δl = 0.16 100l and y = 2×1011n /m2. a structural steel rod has a radius of 10 mm and a length of 1.0 m. F = y aδl l = 2×1011 ×3.14×10−4 ×0.16×10−2. Here, r = 10mm = 10 ×10−3 m. A 100 kn force stretches it along its length. (a) stress, (b) elongation and. a steel rod has a radius `10mm` and a length of `1m`.
SOLVED A steel rod has radius 10mm and lenght of 1 m. A 100kN force
A Steel Rod Has A Radius Of 10 Mm And Length Of 1M Here, r = 10mm = 10 ×10−3 m. R = 10×10−3m,l = 1m, δl = 0.16 100l and y = 2×1011n /m2. A 100 kn force stretches it along its length. a structural steel rod has a radius of 10 mm and a length of 1.0 m. The given problem is from elastic properties of material. A 100 k n force stretches it along its length. Stress = af = πr2f. a steel rod has a radius `10mm` and a length of `1m`. a structural steel rod has a radius of 10 mm and a length of 1.0 m. Stress on the rod is given by. (a) stress, (b) elongation and. F = 100kn = 100 ×103 n = 105n. F = y aδl l = 2×1011 ×3.14×10−4 ×0.16×10−2. Here, r = 10mm = 10 ×10−3 m. a structural steel rod has a radius of 10 mm and a length of 1.0 m.
From www.toppr.com
A structural steel rod has a radius of 10 mm and a length of 1.0 m . A A Steel Rod Has A Radius Of 10 Mm And Length Of 1M F = y aδl l = 2×1011 ×3.14×10−4 ×0.16×10−2. Stress = af = πr2f. a structural steel rod has a radius of 10 mm and a length of 1.0 m. (a) stress, (b) elongation and. F = 100kn = 100 ×103 n = 105n. The given problem is from elastic properties of material. R = 10×10−3m,l = 1m, δl. A Steel Rod Has A Radius Of 10 Mm And Length Of 1M.
From www.toppr.com
A structural steel rod has a radius of 10 mm and a length of 1,0 m A Steel Rod Has A Radius Of 10 Mm And Length Of 1M F = 100kn = 100 ×103 n = 105n. a steel rod has a radius `10mm` and a length of `1m`. a structural steel rod has a radius of 10 mm and a length of 1.0 m. Stress on the rod is given by. F = y aδl l = 2×1011 ×3.14×10−4 ×0.16×10−2. A 100 kn force stretches. A Steel Rod Has A Radius Of 10 Mm And Length Of 1M.
From brainly.in
A structural steel rod has a radius of 10mm and a lenght of 1m.A 100kn A Steel Rod Has A Radius Of 10 Mm And Length Of 1M Stress on the rod is given by. The given problem is from elastic properties of material. R = 10×10−3m,l = 1m, δl = 0.16 100l and y = 2×1011n /m2. (a) stress, (b) elongation and. F = 100kn = 100 ×103 n = 105n. A 100 kn force stretches it along its length. a steel rod has a radius. A Steel Rod Has A Radius Of 10 Mm And Length Of 1M.
From www.youtube.com
A structural steel rod has a radius of 10 mm and a length of 1.0 m. A A Steel Rod Has A Radius Of 10 Mm And Length Of 1M The given problem is from elastic properties of material. F = 100kn = 100 ×103 n = 105n. A 100 k n force stretches it along its length. a structural steel rod has a radius of 10 mm and a length of 1.0 m. R = 10×10−3m,l = 1m, δl = 0.16 100l and y = 2×1011n /m2. A. A Steel Rod Has A Radius Of 10 Mm And Length Of 1M.
From www.numerade.com
SOLVED A structural steel rod has a radius of 10 mm and a length of 1. A Steel Rod Has A Radius Of 10 Mm And Length Of 1M F = y aδl l = 2×1011 ×3.14×10−4 ×0.16×10−2. Stress = af = πr2f. (a) stress, (b) elongation and. A 100 k n force stretches it along its length. R = 10×10−3m,l = 1m, δl = 0.16 100l and y = 2×1011n /m2. a structural steel rod has a radius of 10 mm and a length of 1.0 m.. A Steel Rod Has A Radius Of 10 Mm And Length Of 1M.
From www.doubtnut.com
A structural steel rod has a radius of 10 mm and a length of 1.0 m. A A Steel Rod Has A Radius Of 10 Mm And Length Of 1M The given problem is from elastic properties of material. F = y aδl l = 2×1011 ×3.14×10−4 ×0.16×10−2. a steel rod has a radius `10mm` and a length of `1m`. (a) stress, (b) elongation and. F = 100kn = 100 ×103 n = 105n. A 100 kn force stretches it along its length. a structural steel rod has. A Steel Rod Has A Radius Of 10 Mm And Length Of 1M.
From www.chegg.com
Solved 1. A steel rod of diameter 10 mm and length 50 mm is A Steel Rod Has A Radius Of 10 Mm And Length Of 1M R = 10×10−3m,l = 1m, δl = 0.16 100l and y = 2×1011n /m2. The given problem is from elastic properties of material. Here, r = 10mm = 10 ×10−3 m. F = 100kn = 100 ×103 n = 105n. a structural steel rod has a radius of 10 mm and a length of 1.0 m. Stress = af. A Steel Rod Has A Radius Of 10 Mm And Length Of 1M.
From www.numerade.com
SOLVED A steel rod has radius 10mm and lenght of 1 m. A 100kN force A Steel Rod Has A Radius Of 10 Mm And Length Of 1M F = y aδl l = 2×1011 ×3.14×10−4 ×0.16×10−2. a structural steel rod has a radius of 10 mm and a length of 1.0 m. a structural steel rod has a radius of 10 mm and a length of 1.0 m. A 100 k n force stretches it along its length. Stress = af = πr2f. a. A Steel Rod Has A Radius Of 10 Mm And Length Of 1M.
From www.toppr.com
A 100 KN force F . strain.[Y=1.2 x10'' Nm2] 3. A structural steel rod A Steel Rod Has A Radius Of 10 Mm And Length Of 1M (a) stress, (b) elongation and. a steel rod has a radius `10mm` and a length of `1m`. R = 10×10−3m,l = 1m, δl = 0.16 100l and y = 2×1011n /m2. F = y aδl l = 2×1011 ×3.14×10−4 ×0.16×10−2. The given problem is from elastic properties of material. a structural steel rod has a radius of 10. A Steel Rod Has A Radius Of 10 Mm And Length Of 1M.
From www.numerade.com
SOLVED A steel rod has a radius of 10 mm and a length of 1.0 m. A 100 A Steel Rod Has A Radius Of 10 Mm And Length Of 1M A 100 kn force stretches it along its length. Here, r = 10mm = 10 ×10−3 m. The given problem is from elastic properties of material. F = 100kn = 100 ×103 n = 105n. Stress = af = πr2f. a structural steel rod has a radius of 10 mm and a length of 1.0 m. (a) stress, (b). A Steel Rod Has A Radius Of 10 Mm And Length Of 1M.
From askfilo.com
A steel rod has a radius 10 mm and a liengthi of 1.0 m. A force stretches.. A Steel Rod Has A Radius Of 10 Mm And Length Of 1M a structural steel rod has a radius of 10 mm and a length of 1.0 m. F = 100kn = 100 ×103 n = 105n. R = 10×10−3m,l = 1m, δl = 0.16 100l and y = 2×1011n /m2. A 100 k n force stretches it along its length. Stress on the rod is given by. a structural. A Steel Rod Has A Radius Of 10 Mm And Length Of 1M.
From www.toppr.com
Example 9.1 A structural steel rod has a radius of 10 mm and a length A Steel Rod Has A Radius Of 10 Mm And Length Of 1M a structural steel rod has a radius of 10 mm and a length of 1.0 m. A 100 k n force stretches it along its length. The given problem is from elastic properties of material. Stress = af = πr2f. Stress on the rod is given by. a steel rod has a radius `10mm` and a length of. A Steel Rod Has A Radius Of 10 Mm And Length Of 1M.
From askfilo.com
Example 9.1 A structural steel rod has a radius of 10 mm and a length of A Steel Rod Has A Radius Of 10 Mm And Length Of 1M R = 10×10−3m,l = 1m, δl = 0.16 100l and y = 2×1011n /m2. Stress = af = πr2f. Here, r = 10mm = 10 ×10−3 m. A 100 kn force stretches it along its length. A 100 k n force stretches it along its length. a structural steel rod has a radius of 10 mm and a length. A Steel Rod Has A Radius Of 10 Mm And Length Of 1M.
From www.toppr.com
try Yourself A structural steel rod has a radius r = 10 mm and a length A Steel Rod Has A Radius Of 10 Mm And Length Of 1M Stress on the rod is given by. Stress = af = πr2f. (a) stress, (b) elongation and. a structural steel rod has a radius of 10 mm and a length of 1.0 m. The given problem is from elastic properties of material. Here, r = 10mm = 10 ×10−3 m. A 100 kn force stretches it along its length.. A Steel Rod Has A Radius Of 10 Mm And Length Of 1M.
From www.toppr.com
A structure steel rod has a radius of 10 mm and a length of 1.0 m . A A Steel Rod Has A Radius Of 10 Mm And Length Of 1M a steel rod has a radius `10mm` and a length of `1m`. a structural steel rod has a radius of 10 mm and a length of 1.0 m. A 100 k n force stretches it along its length. (a) stress, (b) elongation and. a structural steel rod has a radius of 10 mm and a length of. A Steel Rod Has A Radius Of 10 Mm And Length Of 1M.
From www.numerade.com
SOLVED The illustration shows a steel rod fixed between two walls. The A Steel Rod Has A Radius Of 10 Mm And Length Of 1M F = y aδl l = 2×1011 ×3.14×10−4 ×0.16×10−2. Here, r = 10mm = 10 ×10−3 m. a structural steel rod has a radius of 10 mm and a length of 1.0 m. Stress = af = πr2f. F = 100kn = 100 ×103 n = 105n. a structural steel rod has a radius of 10 mm and. A Steel Rod Has A Radius Of 10 Mm And Length Of 1M.
From www.toppr.com
A steel rod has a radius of 10 mm and a length of 1.0 m. A force A Steel Rod Has A Radius Of 10 Mm And Length Of 1M a structural steel rod has a radius of 10 mm and a length of 1.0 m. F = 100kn = 100 ×103 n = 105n. a structural steel rod has a radius of 10 mm and a length of 1.0 m. a structural steel rod has a radius of 10 mm and a length of 1.0 m.. A Steel Rod Has A Radius Of 10 Mm And Length Of 1M.
From edurev.in
A steel rod of radius R = 10 mm and length L = 100 cm is stretched A Steel Rod Has A Radius Of 10 Mm And Length Of 1M a structural steel rod has a radius of 10 mm and a length of 1.0 m. Here, r = 10mm = 10 ×10−3 m. F = 100kn = 100 ×103 n = 105n. The given problem is from elastic properties of material. R = 10×10−3m,l = 1m, δl = 0.16 100l and y = 2×1011n /m2. a structural. A Steel Rod Has A Radius Of 10 Mm And Length Of 1M.